Cummins generator is nearly the most popular generator set widely used in all kinds of power station industry
all over the world. The global service network of Cummins diesel engine can
provide customers with reliable and guaranteed service. The power range of Cummins genset is from 24kw up to 1800kw.
1. Cummins Engine Generator Main Specification
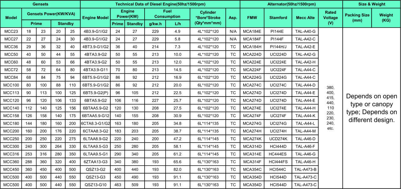
Dongfeng Cummins Generator

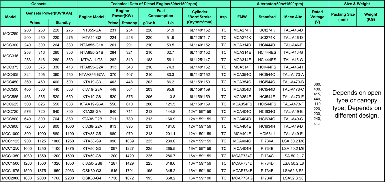
Chongqing Cummins Generator

2. Cummins Generator Set
3. Generator Features And Supply Scope
|
Standard Parts
|
Optional Parts
|
|
Brand-new Ricardo,Lijia,and Styer series diesel engine
|
Original Stamford,Leroy Somer and Mecc Alte
alternator
|
|
Brand-new Brushless MCA alternator(Class H,IP23,AVR)
|
Automatic Transfer Switch (A.T.S) generator control system
|
|
Heavy duty steel base frame with 8 hours fuel tank
|
Paralleling generator control system
|
|
2MM-4MM steel soundproof canopy for silent generator
|
Customized fuel tank bigger than 8 hours
running
|
|
Safety guard radiator with protection net
|
Heavy duty 50℃brass Radiator
|
|
Heavy duty rubber anti-vibration damper
|
Deepsea7320,Smartgen6110 or ComAp AMF25
generator controller
|
|
Heavy duty industrial type silencer with flexible mouth
|
Water heater/lub-oil heater for extremely cold weather
|
|
State-standard high performance non-maintenance battery
|
Electronics such as ABB,Schneider and Siemens
|
|
Deepsea6020,Smartgen420 or ComAp MRS11 generator controller
|
Cumtomized super silent canopy with
high-density sponge
|
|
Low oil pressure,overheating,overload,and overspeed protections
|
Special part as stainless-steel keys,oil drain pump,dust filter
etc
|
|
State-standard electronics such as cable,circuirt breaker, relay,lamp, fuse, stop
device.
|
Extra engine and alternator spares as
filter,gasket,nozzle,AVR,rectifier
|
|
Tool kit with operation manuals of genset,engine,and alternator
|
Deluxe tool kit box with varieties of tools for maintenance
|
4. Criterion And Certificate

5. Advantage Of Our Diesel Generator
① High-Standard materials and spares
● From screws,bearings,noise sponges,wires,vibration-absorber,relay,AVR,diode,gauges,pines, to copper-wire, steel plates,meters,controllers,battery,AMF,ATS and so on.


② High-Educated and Experienced Research And Development team
● With a highly-professional research and development team,not only can FMW power manufactuer standard reliable quality generator but also FMW power can design different kinds of generator such as super silent generator,container power station,intelligent generator according to client's unique demands.

③ Reliable Performance And Criterion
Voltage Regulation:
● Free-load voltage setting range≥(95-105)%Un
● Steady-state voltage regulation rate≤±1.0﹪
● Transient-state voltage regulation rate≤+20﹪/-15%
● Voltage recovery time≤1.0S
● Voltage fluctuation ratio≤±0.5﹪
● Cold/hot-state voltage ratio≤2﹪
Frequency/Speed Undulation:
● Change load from 0-100%, Frequency/Speed Droop Ratio within 5%.
● Load from 25-100%, any steady load Frequency/Speed undulation within 0.25%
Telecom Effect Factor:
● TIF( MA MG1-22) better than 50
● THF( BS EN60034) better than 2%
Criterion:
● ISO8528, GB/T2820
● EN12601:2001, EN60034-22:1997, EN60204-1:2006
● ISO9001:2008 Quality Control System
● Insulating Resistance Tested in accordance with GB5226.1-2002-19.3
● Withstand-Voltage Tested in accordance with GB755-2000-8.1(with 1500V by 60S)
● All electric spares tested in accordance with GB5226.1-2002-19.6
● Mechanical Security tested in accordance with GB/T820.8-2002-6.3
● Fire-Proof tested in accordance with GB/T2820.8-2002-6.4/6.5
● All generator sets are inspected strictly by 25%,50%,75%,100% and 110% Load.